光伏(PV)组件是用于在其生命周期内连续户外暴露的电气设备。在一些特殊的地理条件下,如:盐碱地、沿海等地,强腐蚀性的潮湿大气,最终可能导致一些光伏组件部件(金属部件的腐蚀,一些非金属材料的性能恶化,如保护性涂层和背板)通过大气中含盐微小液滴长期同化从而造成永久性损害,进而影响其工作性能。盐雾腐蚀是常见和最有破坏性的大气腐蚀。
盐雾测试标准是一种主要利用盐雾测试设备所创造的人工模拟盐雾环境条件来考核产品、金属覆盖层或金属合金制品抗腐蚀能力的一类可靠性环境测试。通过对温度、湿度、氯化钠溶夜浓度和PH值等做明确具体规定以及盐雾试验箱性能提出技术要求进行环境模拟检测。华阳检测作为光伏行业专业检验检测机构率先引进盐雾八级设备,技术能力全新升级,满足新标中所有盐雾等级测试要求。

IEC 61701光伏组件盐雾测试标准第三版,替代2011年发行的第二版。
相对于先前版本的主要技术更改如下:
1、范围已更新,以更好地反映本标准的适用性。
2、测试方法和要求已经浓缩,并与IEC 61215-1、IEC 61215-2和IEC 61730-2的新版本保持一致。不再提及晶体硅与薄膜技术。薄膜测试序列上的旧图2已被消除。
3、盐雾测试参考已更新,以与对IEC 60068-2-52的更改保持一致。
4、添加了规范性附录A,以指导IEC60068-2-52中的哪种测试方法适用于不同的应用。这包括对最新版本IEC 60068-2-52中的新测试方法的引用。
介绍了可用于确定不同光伏组件对含Cl的盐雾(NaCl,MgCl₂等)的耐腐蚀性的测试顺序。序列中包含的所有测试均在IEC 61215-2,IEC 62108,IEC 61730-2和IEC 60068-2-52中进行了完整描述。旁路二极管功能测试已从IEC 61215-2中的描述进行了修改。提供了评估在溶解盐(NaCl)浓度较高的潮湿环境下运行时光伏组件中可能引起的故障的方法。根据模块在实际操作中所暴露的周围大气的特定性质,可以采用IEC 60068-2-52中定义的几种测试方法。提供了适用性和选择适当方法的指南。样品要求与先前版本一样,1块控制件+2块测试件。每次检测样品时,应使用控制件进行检查,以评估盐雾试验的效果。所有测试样品均应按照IEC 61215-2中的MQT 19以及IEC 61215-1-x系列中的任何技术特定要求进行电气稳定程序。

图1-非集中式光伏组件的盐雾腐蚀测试顺序

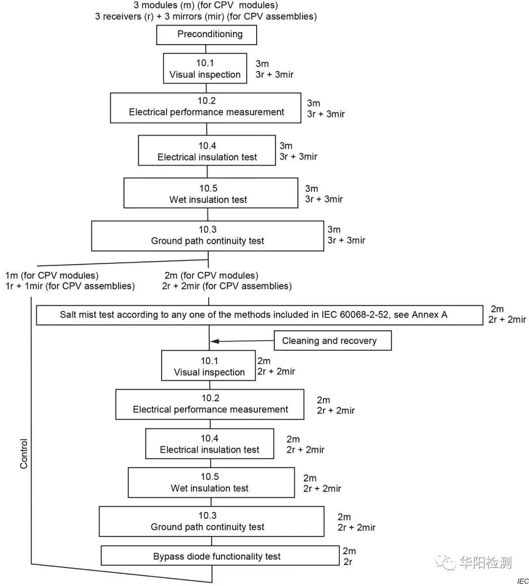
图2-聚光光伏(CPV)模块盐雾腐蚀测试顺序
01根据IEC 60068-2-52选择适当的测试方法的指南
IEC 60068-2-52包含由四个独立循环组成的八种测试方法。测试方法1至7是在中性pH值的5%NaCl溶液中进行的,而测试方法8是在酸化至pH值为3.5的5%NaCl溶液中进行的。测试方法1和2包括带有间歇性盐雾的恒定潮湿条件。测试方法3至6基于7天的周期,其中包括间歇性的盐雾,高湿度条件以及在标准大气条件下3天的干燥和松弛期。测试方法7和8是针对汽车工业材料开发的,包括八个小时的循环(包括盐雾),然后快速干燥空气并随后在高湿度下重新润湿。
02选择测试方法1至8的建议
盐雾测试的严重程度应根据将要安装光伏组件的位置中普遍存在的大气腐蚀条件来选择。ISO 9223中的腐蚀性分类C1至CX可用作确定是否将此文件作为特殊的认证序列应用以及选择适当的测试方法的指南。对于在C3或更高腐蚀性环境中的安装,建议按照本文进行测试。
C1和C2代表腐蚀性较低的环境,通常处于干旱气候中。C1环境很少见,在自然环境中完全暴露的地区可能不存在,但C2环境在远离盐水体的干燥地区很常见。C3环境在高度工业化的地区,距咸水体约2至10公里的区域或一年中大部分时间湿度较高的地区都很常见。C4和C5环境具有高度腐蚀性,通常与盐水体非常接近。CX极端腐蚀性类别已添加到原始分类中,以表示海上环境,例如用于海洋油气提取的模块或平台的浮动安装所经历的环境。将盐用于除冰或粉尘控制会产生高腐蚀性的高度局部区域,而这些区域可能无法在公开的工具和腐蚀性分类图中捕获。
尽管可以将测试方法与ISO 9223腐蚀性分类相关联,但还是应谨慎行事,因为这些分类代表裸露金属板上暴露一年的影响,但不一定代表相同环境对光伏组件的影响。这些测试方法均不能代表使用寿命测试。
03测试方法1
与测试方法5一样,此方法在C4环境中可实现相当于一年的钢材质量损失。IEC 60068-2-52标准将该方法描述为适用于海洋环境中使用的产品,但这仅适用于一般认证对于光伏组件,在许多情况下不是预期的使用寿命。
04测试方法2
在C2环境下,这种方法可实现相当于一年的钢材质量损失。由于其持续时间短,因此不得用于打算连续暴露在户外的模块。通常,测试方法2用于通常不受腐蚀环境影响但在使用或运输过程中可能会偶然暴露的产品,例如测试设备。
05测试方法3至6
在该循环的干燥阶段,NaCl的浓度会在样品上局部增加,直到形成沉淀为止,这通常会加速腐蚀过程。但是,一旦样品附近的局部RH达到标准条件,这些过程通常就会停止。弛豫时间对于执行样本的中间评估可能有用。
测试方法3在C2环境中实现了相当于一年的钢材质量损失。由于其持续时间短,因此不得用于打算连续暴露在户外的模块。
测试方法4在C3环境中实现了相当于一年的钢材质量损失。因此,它可以用作一般条件测试。测试方法5与测试方法1一样,在C4环境中实现了相当于一年的钢材质量损失。因此,它适合于可能位于海洋,盐水湖或除冰的铺砌表面附近的组件的鉴定使用了盐,但盐的位置不足够近,以至于可能直接喷洒或飞溅。
测试方法6在C5环境中实现了相当于一年的钢材质量损失。因此,它适合于安装在距离海洋或冰冻道路足够近的模块上,以免它们通过波浪或风的作用而间歇性地喷洒或飞溅。
06测试方法7和8
测试方法7和8是针对汽车零部件和涂料开发的,在相同的时间范围内,它们被认为是最严格的测试方法。它们对光伏组件的适用性未知。但是,对于已知用于CX环境的模块或已知通过其他测试方法的模块在使用中具有腐蚀相关故障的应用,这些方法可能是有用的方法。另外,这些方法对于诸如移动车辆或航海船上的特殊应用可能是有用的。测试方法7使用与方法1至6相同的中性pH溶液,而测试方法8使用酸性溶液,这可能对工业污染严重的应用有用。

我们用心检测
不忘初心
一直为提供更优质全面的服务而努力!
